사이트맵 ×

토탈산업
현대보테코
리텍전시회

기술과 솔루션

엠쓰리파트너스
hnp인터프라
휴먼텍
한국마쓰이

UV 경화 수지의 설계와 굴절률 특성 #2-1

작성자 : 편집부 2025-11-13 | 조회 : 2108

 

 

6. 광 개시제

 

 

UV 경화 기술은 광 개시제를 이용해 빛에너지를 화학반응으로 전환하는 중합 방식으로 라디칼 경화계, 양이온 경화계, 음이온 경화계의 3가지 주요 경화 메커니즘으로 나눌 수 있다.

 

이 중 가장 널리 사용되는 방식은 라디칼 경화계로 UV 광 흡수에 의해 자유(free) 라디칼을 생성하는 광 개시제를 통해 (meth)acrylate와 같은 C=C 이중결합을 갖는 모노머의 중합이 진행된다. 라디칼 경화는 반응속도가 매우 빠르고, 열경화가 불필요하여 공정효율이 높으며, 재료의 다양성과 조성 설계의 유연성 덕분에 산업적으로 널리 사용된다. 그러나 공기 중 산소가 라디칼을 포착하여 경화를 방해하는 단점이 있다.

 

양이온 경화계는 산소의 방해를 받지 않으며, 경화 수축이 작고 기재와의 접착성이 뛰어난 특징이 있다. 이 방식은 UV 광에 의해 Brønsted acid 또는 Lewis acid를 생성하는 광 개시제를 이용하며, 에폭시, 옥세탄, 비닐 ether와 같은 고리형 ether가 모노머로 사용된다. 다만 재료 선택의 폭이 라디칼계에 비해 제한적이며, 수분에 민감한 단점이 있다. 그럼에도 불구하고 실용화된 감광성 재료 중 일부는 이 양이온 경화계를 기반으로 하고 있다.

 

음이온 경화계는 광 개시제를 통해 염기를 발생시켜 반응을 유도하지만, 현재까지 안정적이고 효율적인 개시제는 거의 없어 상업적 응용은 거의 이루어지지 못한 상태이다.

 

6.1 요구 특성

 

광 개시제는 UV 경화 특성이나 최종 생성물 물성을 결정하는 중요한 요인 중 하나로서 그 선정이 매우 중요하다. 광 개시제를 선정할 때 고려해야 할 주요 사항들은 다음과 같다.

 

• 광원 스펙트럼과 광 개시제 감광 파장영역의 중첩

• 조성물 내에 포함된 안료 등의 흡수 파장대와 광 개시제의 흡수 파장대의 위치 관계

• 활성종(라디칼, acid)을 생성하는 능력으로 광반응 양자 수율 및 몰 흡광계수

• 생성된 활성종의 반응성

• 중합 방해 작용(산소, 수분 등)

• 모노머 및 올리고머의 상용성

• 저장 안정성 및 암반응 유무

• 황변이나 착색 특성

• 휘발성 및 냄새

 

UV 경화 공정에 있어 광 개시제가 관여하는 부분은 빛 흡수, 활성종 생성, 활성종에 의한 중합 개시이다. 그 이후의 중합 과정은 주로 모노머 간의 반응으로 진행되며, 일반적으로 광 개시제는 이 단계에 직접 관여하지 않는다. 경화를 개시하는 활성종의 생성량은 광 개시제가 흡수한 광량과 광반응의 양자수율에 의해 결정된다.

 

이러한 관점에서 광 흡수는 매우 중요한 요소이며, 광원의 발광 스펙트럼과 광 개시제의 흡수 스펙트럼이 중첩하는 크기가 중요하다. 수은 램프나 메탈할라이드 램프와 같이 넓은 파장 범위에 걸쳐 발광하는 광원을 사용할 경우, 다양한 흡수 파장을 가진 광 개시제의 선택이나 배합 조건의 최적화가 비교적 용이하다. 그러나 최근 사용되고 있는 고출력 UV-LED 노광기는 좁은 발광 파장영역을 가지고 있으므로, 해당 특정 파장영역에 적합한 감광 특성을 지닌 광 개시제의 선택이 필수적이다.

 

조성물 측면에서 안료와 같은 착색제를 함유하는 경우, 착색제의 빛 흡수로 인해 광 개시제가 흡수할 수 있는 광량이 저하될 수 있다. 이러한 착색제의 흡수 영향을 가능한 감소시키고 효과적인 UV 광 흡수를 위해서 착색제의 투과율이 높은 파장영역에서 효과적인 흡수를 가지는 광 개시제를 사용하는 것이 바람직하다. 색상에 따라 흡광계수가 낮은 파장영역이 다르기 때문에, 각각의 색상에 적합한 흡수 특성을 가지는 광중합 개시제의 선택이 필요하다. 당연히 활성이 높은 개시종을 효율적으로 생성하는 개시제를 선택하는 것도 중요하다.

 

UV 경화를 진행하는 경우, 그 조건에 따라 경화 방해를 받는 경우가 있다. 라디칼 경화에서는 산소에 의한 경화 속도 저하가 주로 문제가 된다. 이것은 산소가 여기된 삼중항 상태의 개시제를 소광하거나, 생성된 라디칼을 소거하는 라디칼 포착제(scavenger)로서 작용하기 때문이다. 특히 단위 부피당 표면적이 큰 박막의 경우, 산소의 영향이 더욱 현저하게 나타나므로, 산소 방해가 문제가 되는 경우에는 적절한 대책 마련이 필요하다.

 

한편, 광 개시제의 2차적 특성에 관련된 것으로, 광 개시제는 광 경화 과정뿐만 아니라 광 경화 전 조성물의 상태나 경화 후 형성된 도막의 특성에도 영향을 미친다. 예를 들어, 투명한 조성물에서는 광반응 전후의 도막에 잔존하는 개시제로 인한 황변 또는 착색이 발생하지 않아야 하며, 경화 후의 도막이 장기간 빛이나 열에 노출되었을 때도 색 변화가 발생하지 않아야 한다.

 

6.2 광 개시제의 종류와 특징

 

6.2.1 라디칼계 광 개시제

 

(1) 아세트페논(acetophenone)계 광 개시제

 

광 개시제가 빛에 의해 활성종을 생성하는 기구는 크게 단분자 내부 반응을 이용하는 타입 I과 분자 간 반응을 이용하는 타입 II로 분류된다. 가장 널리 알려진 단분자 광반응은 아세토페논과 같은 방향족 carbonyl 화합물의 Norrish I형 α-개열(cleavage) 반응이며, 현재 실용화되어 있는 라디칼계 광 개시제의 상당수가 이 타입에 속한다.

 

아세토페논류는 광 흡수에 의해 생성된 nπ* 최저 여기 삼중항 상태에서 그 여기에너지보다 작은 결합에너지를 가지는 carbonyl기와 α-탄소 간의 결합이 라디칼적으로 절단되는 α-개열을 통해 벤조일(benzoyl) 라디칼과 알킬 라디칼을 생성한다. 이 개열 반응의 속도는 일반적으로 α-위치 치환기의 종류와 수에 크게 영향을 받는다. 치환기의 수가 많을수록, 그리고 α-탄소의 전하밀도를 높이는 전자공여성기가 도입될수록 반응속도는 현저하게 증가한다. 따라서 현재 시판되고 있는 다수의 아세토페논계 광 개시제는 α-위치에 하나 또는 두 개 이상의 산소나 질소와 같은 헤테로 원자, 또는 벤젠환과 같은 방향족 고리를 치환기로 가지고 있다.

아세토페논계 광 개시제의 흡수 특성은 그 발색단의 구조에 의해 크게 바뀌며, 벤젠환에 적당한 치환기를 도입함으로써 흡수 파장을 장파장 영역으로 이동시킬 수 있다. 시판되는 일부 아세토페논계 개시제는 400㎚ 부근까지 감광성을 나타내기도 한다.

 

현재 가장 널리 사용되고 있는 아세토페논계 광 개시제 중 하나는 벤질케탈류로 매우 높은 광개열 효율을 가진다. 또한 α-개열에 의해 벤조일 라디칼과 함께 생성되는 디메톡시벤질 라디칼은 계속해서 일어나는 열적 개열 반응을 통해 반응성이 높은 메틸 라디칼을 추가로 생성하므로, 전체적인 중합 개시 능력이 매우 우수하다. 감광성 조성물의 pot-life는 길지만 황변을 유발하는 단점이 있어 투명 재료에 사용은 제한적이다.

 

α-하이드록시 아세토페논류는 광 반응성이 높고, 노광 조건의 최적화를 통해 뛰어난 표면 경화성을 실현할 수 있다. 이 개시제는 분자 내에 hydroxyl기를 가지고 있어 에멀젼이나 수분산계와 같은 수계 잉크나 수용성 조성물에 적용이 용이하다. 빛에 의한 황변이 거의 없기 때문에 특히 투명 감광재료에 적합하다. 올리고머나 다이머 구조를 가진 개시제는 분자량이 커서 광분해 생성물의 휘발성, 취기, 그리고 이행성의 문제를 줄일 수 있다. 또한 극성이 높은 하이드록시 에톡시기를 벤젠환에 가진 개시제는 휘발성이나 냄새에 우수한 특성을 보인다. 

 

그러나 시판되는 α-하이드록시 아세토페논류나 벤질디메틸케탈은 300㎚ 이상의 장파장 영역에서 몰흡광계수가 작아, UVA 영역의 빛에 대한 경화 특성이 상대적으로 높지 않다. 장파장 영역에 흡수하는 성분을 함유하지 않는 투명 감광재료의 경우 사용조건을 최적화하여 충분한 경화 특성을 얻을 수 있지만, 안료와 같은 착색제나 비교적 장파장에 흡수를 가지는 수지 성분을 함유하는 감광성 조성물의 광 경화에는 적합하지 않은 경우가 많다.

 

이러한 약점을 극복하기 위해 개발된 것이 α-아미노 아세토페논계 개시제이다. α-아미노 아세토페논계 개시제는 벤젠환에 알킬티오(alkylthio)기나 아미노기와 같은 조색단을 도입하여 광 반응성을 크게 떨어뜨리지 않으면서 흡수 파장을 장파장 영역으로 이동시키는 데 성공하였다. 

 

α-아미노 아세토페논은 티옥산톤, 아미노벤조페논, 케토쿠마린 유도체 등에 의해 효율적으로 분광 증감될 수 있으며, 이 과정의 주된 기구는 삼중항-삼중항 에너지 이동이다. 증감반응 시, 먼저 증감제가 특정 파장의 빛을 흡수하여 여기 상태에 도달한 후, 바닥 상태의 광 개시제로 에너지를 전달한다. 이 에너지를 전달받은 광 개시제는 여기 상태로 전환되어 직접 광 흡수를 통해 여기된 상태와 동일한 경로로 개열 반응을 진행시켜 라디칼을 생성한다.
분광 증감의 효과는 UV 영역에 강한 흡수를 보이는 이산화티탄(TiO2​)을 함유한 백색 lacquer의 UV 경화에서 명확히 나타난다. 이 시스템에서 α-아미노 아세토페논 단독으로는 충분한 경화 속도를 얻기 어렵지만 ITX(2-Isopropylthioxanthone)를 첨가하면, TiO2​ 흡수가 상대적으로 적은 400㎚ 부근의 빛을 ITX가 효과적으로 흡수하고 그 에너지를 개시제로 전달하여, 결과적으로 경화 속도를 현저하게 향상시킬 수 있다.

 

(2) 아실포스핀 옥사이드(acylphosphine oxide)계 광 개시제

 

아세트페논 구조를 갖지 않는 α-개열형 광중합 개시제로 모노아실포스핀옥사이드(MAPO)와 비스아실포스핀옥사이드(BAPO)가 대표적인 아실포스핀 옥사이드계 광 개시제이다. 이들 개시제는 아세트페논류와 유사하게 α-개열 반응을 통해 벤조일 라디칼과 포스피노일(phosphinoyl) 라디칼을 생성한다.

 

아실포스핀 옥사이드계 개시제는 350~400㎚ 이상의 가시광선 영역에서도 감광성을 나타내며, 이는 아세트페논계 개시제로는 충분한 흡수를 얻기 어려운 영역이다. 이러한 흡광 특성 덕분에 아실포스핀 옥사이드는 뛰어난 내부 경화성을 제공하여 후막 경화 용도에 적합하다.

 

그러나 아실포스핀 옥사이드는 산소 방해에 취약하여 표면 경화성이 문제가 될 수 있으며, 이 경우 표면 경화성이 우수한 α-하이드록시 아세트페논과 병용하여 경화 특성을 현저히 개선할 수 있다.
한편, 아실포스핀 옥사이드는 아세트페논계 개시제와 달리 광 개열 전후로 발색단 구조의 변화가 크기 때문에 광표백(photo-bleaching) 현상과 같은 흡수 스펙트럼의 단파장 이동을 특징적으로 나타낸다.
(3) o-아실 옥심(o-acyl oxime)계 광 개시제

 

o-아실 옥심류는 광분해를 통해 높은 양자수율로 활성 라디칼을 생성하는 광 개시제이다. 기존 아실 옥심은 300㎚ 이상 UV 영역에서 흡수가 미약하여 장파장 노광이 필요한 착색 감광성 재료에 적용하기 어려웠다. 그러나 칼라필터 레지스터용 고감도 광 개시제로 새로운 o-아실 옥심 개시제가 개발되어 장파장 영역에서 유효한 흡수를 보여 365㎚ 수은 램프 광원에 감광성을 갖게 되었다.
4) 티타노센(titanocene)계 광 개시제

 

티타노센계 광 개시제는 시판되는 개시제 중 가장 넓은 감광 파장영역을 가지며, UV 영역부터 550㎚까지 넓은 흡수 스펙트럼을 보인다. 이러한 특성에 의해 다양한 광원에 대응이 가능하여 주로 가시광선 경화 용도로 사용되지만, 400㎚ 이하에서도 효과적인 흡수와 높은 광 개시 능력을 바탕으로 UV 파장에서도 우수한 광 경화 특성을 나타낸다. 단점으로 산소 방해에 비교적 약하며, 가시광선에 대한 감도가 있기 때문에 취급에 주의를 필요로 한다.
(5) 2분자 반응형 광 개시제

 

(5-1) 분자 간 수소 탈취형 광 개시제
분자 간 수소 탈취형 광중합 개시제는 벤조페논과 같은 방향족 carbonyl 화합물과 수소공여체 간의 수소 탈취 반응, 또는 전자이동 후 양성자 이동을 통해 라디칼을 개시하는 시스템이다. 특히 3급 아민을 수소공여체로 활용할 경우, 여기된 삼중항 상태의 carbonyl 화합물로 아민으로부터 전자가 이동하고 이어지는 양성자 이동을 통해 케틸(ketyl) 라디칼과 아미노 알킬 라디칼이 생성된다. 이때 생성된 아미노 알킬 라디칼이 acrylic acid ester와 같은 모노머의 중합을 개시한다.

 

carbonyl 화합물로는 벤조페논 외에 티옥산톤이나 케토 쿠마린이 사용되며, 전형적인 아민 수소공여체로는 N, N-디알킬아닐린 구조의 디메틸아미노안식향산 알킬 ester, 비스(디에틸아미노)벤조페논, 트리에탄올아민, 메틸디에탄올아민 등이 있다.
이 개시계의 감광 파장은 방향족 carbonyl 화합물의 흡수 특성에 의해 결정된다. 예를 들어, 티옥산톤-아민 시스템은 티옥산톤의 흡수가 400㎚ 이상까지 확장되어 UVA 영역에 충분한 감광성을 나타낸다. 

 

(5-2) 분자 간 전자 이동형 광 개시제
광 여기 전자이동을 이용한 2성분계 라디칼 생성 광 개시 시스템이 광범위하게 연구되고 있다. 개시제가 광 여기된 증감제로부터 전자를 받거나 증감제에 전자를 제공하는 중간체를 통해2차 반응으로 라디칼을 생성하여 모노머 중합을 개시한다.
보레이트(borate)계 화합물은 전자수용성이 높은 색소 증감제와 조합될 때 광조사에 의해 효율적으로 라디칼을 생성한다. 이때 보레이트 음이온으로부터 활성화된 증감제로 전자가 이동하며, 이어서 생성된 붕소 라디칼의 분해를 통해 알킬 라디칼이 발생한다. 티옥산톤이나 그 유도체, 또는 다양한 색소를 보레이트와 조합하여 UV 영역부터 가시광선 및 근적외선 영역까지 넓은 광원에 대응할 수 있다.
6.2.2 양이온계 광 개시제

 

양이온 경화형 광 개시제는 빛을 받아 강산을 생성하여 양이온 중합을 개시하는 물질이며, 이 중에서도 오늄염 화합물, 특히 디아릴요드늄염과 트리아릴술포늄염이 실용적으로 널리 사용되고 있다. 이러한 오늄염은 빛을 받아 분해되며 Brønsted산을 생성하고, 이 산이 에폭시나 옥세탄 등의 모노머에 작용하여 중합반응을 유도한다. 즉, 광 개시제가 광 분해되며 생성한 산이 실질적인 중합 개시종으로 작용하는 구조이다.

 

기존의 무치환 벤젠 고리를 갖는 오늄염은 광분해에 의해 독성이 높은 벤젠을 생성하고, 안티몬이나 비소 등 유해한 원소를 대음이온(anion)으로 포함하는 경우가 많아 환경적이나 안전성 측면에서 문제가 있었다. 이에 따라 최근에는 벤젠 고리에 알킬 치환기를 도입하여 분해생성물의 독성을 줄이고, 동시에 anion으로 환경친화적인 비유해성 음이온을 사용하는 새로운 형태의 요드늄염이 개발되어 시판되고 있다.
양이온 개시제의 반응속도와 중합 효율은 크게 두 가지 요소에 의해 결정된다. 첫째는 광분해 반응속도인데, 이는 요드늄이나 술포늄 양이온 자체의 구조에 의해 좌우되며 anion의 영향은 거의 없다. 둘째는 생성된 산의 강도와 반응성으로 anion의 성질에 크게 의존한다. 일반적으로 구핵성이 낮은 anion을 사용할수록 생성된 산의 해리도가 높아져 중합 속도가 증가하며, 경화가 빠르게 진행된다.

 

6.3 UV 광 경화 반응에서 황변과 착색 

 

광 경화 공정에서 사용되는 감광성 조성물은 노광 후 또는 경화된 도막이 실제 사용 환경에 노출될 경우 황변 또는 착색 현상을 일으킬 수 있다. 이러한 색 변화는 광 개시제의 광화학 반응에 기인하는 대표적인 문제 중 하나로, 특히 고 투명성이 요구되는 코팅 또는 clear 도막에서 심각한 품질 저하 요인이 된다. 따라서 광 개시제를 선정할 때, 광 개시 활성뿐만 아니라 광반응 부산물의 색상 안정성 또한 중요한 고려 요소가 된다.

 

예로서 벤질디메틸케탈(BDK)과 같은 광 개시제는 UV 광 조사로 라디칼 생성반응을 통해 다양한 광반응 부산물을 형성한다. 이 중 일부 부산물은 가시광 영역에서 흡수 특성을 가지며, 장파장 흡수를 유도해 황변의 원인이 된다. 특히, BDK로부터 생성된 디메톡시벤질 라디칼이 재결합하면서 형성되는 착색 부산물이 도막의 색안정성을 저하시킨다고 보고되고 있다.
반면, α-하이드록시아세토페과 같은 개시제는 가시광 영역에서 흡수가 없고, 착색성 광반응 생성물도 형성하지 않기 때문에 일반적으로 황변에 대한 우수한 내성을 가진다. 이들 구조는 BDK와 달리 벤질 라디칼을 생성하지 않으므로 도막의 색상이 안정적이다.
황변 억제를 위한 효과적인 방법 중 한 가지는 광반응 후 원래의 흡수대가 소실되는 광표백(photo-bleaching) 특성을 갖는 개시제의 사용이다. 예를 들어 o-아실 옥심(o-acyl oxime)은 325㎚ 부근에 강한 흡수대를 갖지만, 광조사 후 이 흡수대는 점차 감소하여 최종적으로 완전 소실된다. 이는 경화 전에는 강한 흡수를 통해 효율적인 개시가 이루어지고, 경화 후에는 착색이 발생하지 않아 도막의 외관 품질이 유지된다는 점에서 매우 유리하다. 또한, 아실포스핀 옥사이드(acylphosphine oxide) 계열 또한 광표백 특성을 나타내는 것으로 알려져 있다. 

 

 

 

UV 경화 수지의 배합 설계는 최종 경화물의 성능을 좌우하는 핵심 과정이다. 이 설계에서 광중합 반응속도, 경화막의 물성, 기계적 강도 및 유연성, 접착성과 같은 다양한 요구 특성에 따라 모노머, 올리고머, 광 개시제 등의 성분을 정밀하게 조정해야 한다. 배합 설계에는 관능기 수, 분자 크기, 유리 전이온도(Tg)가 주요 인자로 작용한다.

 

7.1 관능기 수와 경화 반응성

 

경화 속도는 광 개시제로부터 생성되는 라디칼의 활성도와 이들이 중합성 관능기, 예컨대 acryloyl기를 공격하는 효율에 크게 의존한다. 모노머 분자 내의 관능기 수는 이 반응 효율과 연관된다. 일반적으로 하면, 되지만, 대신 망상구조 형성이 촉진되어 경화 피막의 물성이 크게 변화한다.
예를 들어, 단관능 모노머는 굴곡성, 유연성, 접착성이 우수하며, 다관능 모노머는 높은 경도를 나타내는 대신 깨짐이나 접착성 저하와 같은 물성이 동반된다. 이는 형성에 따른 것이며, 관능기 증가에 따라 Tg도 상승하는 경향이 있다.

 

7.2 아크릴계 모노머의 종류와 배합 영향

 

모노머는 UV 경화 조성물에서 반응성 희석제 역할 외에도 유동화제, 점도조절제, 안료 분산제 등으로도 활용되며, 동시에 가교 밀도 조절에도 기여한다. 다음은 대표적인 아크릴계 모노머들의 예이다.

 

• 단관능: 2-에틸헥실 acrylate(EHA), 4-하이드록시부틸 acrylate (HBA), N-비닐피롤리돈(NVP), 스테아릴아크릴레이트(SA)
• 2관능: 폴리에틸렌글리콜 diacrylate(PEGDA), 트리프로필렌글리콜디아크릴레이트(PGDA)
• 3관능: 트리메틸올프로판 triacrylate(TMPTA)

 

이들의 반응속도는 순이며, 이는 관능기 수가 증가함에 따라 반응성이 저하됨을 나타낸다. 하지만 TMPTA처럼 반응성은 낮더라도 높은 가교 네크워크 형성에 의해 물성을 향상시킬 수 있다.
모노머를 비스페놀-A-글리시딜ether diacrylate(BGEDA)와 같은 올리고머와 혼합할 경우, 경화 속도 및 반응률이 상승하며, 경화 피막의 물성도 조정 가능하다.

 

7.3 경화막의 물성 조절과 가소화 효과

 

모노머의 구조 및 관능기 수에 따라 경화막의 성질이 달라진다. 단관능 모노머를 사용할 경우, 망목 가교 밀도가 낮아지고, 이에 따른 가소화 효과로 굴곡성과 접착성이 우수해진다. 반면, 다관능 모노머는 망목 가교 밀도가 높아지고, 이에 따라 강성, 깨짐, Tg가 상승하는 경향이 있다.

 

가소화 효과는 EHA, HBA, PEGDA에서 확인되었으나, TMPTA에서는 확인되지 않았다. 이는TMPTA에 의해 형성되는 높은 망목 밀도 및 Tg 상승 때문으로 해석된다. Tg 상승 순서는 다음과 같다

 

경화막의 유연성을 개선하기 위해서는 알코올계 단관능 acrylate(탄소 수 4개 이상)나 반응성 가소제를 사용한다. 이들 모노머 내의 polyalkylene 또는 polyalkylether 세그먼트는 경화 후에도 유연성을 유지시키는 역할을 한다.

 

7.4 광 개시제의 첨가량

 

광 개시제의 첨가량은 경화 반응률에 영향을 주지만, 일정 농도를 초과하면 반응성 향상 효과가 포화된다. 예를 들어, α-아미노케톤계 광 개시제를 사용한 경우, 약 30μm 두께의 피막에서는 일정 이상의 첨가량이 반응률을 더 이상 증가시키지 않았다.
경화 성분(모노머, 올리고머)과 광 개시제의 비율은 피막의 두께에 따라 달라지며, 산소에 의한 중합 방해를 줄이기 위한 조정이 필요하다. 피막이 두꺼워질수록(100μm 이상) 광 개시제의 첨가량을 줄이거나 20% 정도 증량하는 방식으로 조정 가능하다. 막 두께와 광 개시제의 첨가량(%)의 관계는 다음 값을 기준으로 하여 결정하면 좋다.
후막(㎜ 수준)의 경우, 미 경화 상태에서의 유동성 방지를 위해 열가소성수지 등을 혼합한 바인더를 함께 사용하며, 광 개시제를 경화 성분 기준 100% 수준에서 시작하여 경화 특성에 따라 조정하는 방식이 적용된다.
광 개시제의 첨가량을 줄이면서도 경화 속도를 개선하고 잔류량을 줄이기 위해 혼합형 광 개시제가 사용된다. 이때 synergy가 발휘되며, 혼합되는 광 개시제 간의 용해성 또는 상용성이 필수이다.

 

대표적인 혼합형 광 개시제는 다음과 같다.
이러한 조성은 광중합 활성 라디칼의 발생 메커니즘을 다변화하여 반응 효율을 높이는 데 효과적이다.

 

7.5 저 점도화

 

UV 경화 수지의 점도는 가공성 및 코팅 적합성에 큰 영향을 미친다. 이러한 점도를 조절하기 위한 방법 중의 하나는 저점도 모노머를 첨가하는 것이다. 일반적으로 올리고머는 중간 분자량의 구조를 가지며, 분자량이 높은 열경화성 수지보다는 작지만, 그 조성물의 점도가 낮은 것은 아니다. 실제 점도는 단순히 분자량보다는 화학구조 및 분자 내 극성기의 수와 종류에 따라 좌우되는 경향이 강하다.

 

특히 점도를 낮추기 위한 배합 설계에서 다음 세 가지 요소에 주의해야 한다. 첫째, 모노머의 용해도 파라메타(SP치); 둘째, 올리고머의 구조적 유연성과 분지도; 셋째, 분자 내의 극성기 수로서 극성기가 많을수록 분자 간 응집력이 증가하여 점도가 상승하게 된다. 이 응집력의 강도는 일반적으로 다음과 같은 순서를 따른다.
예를 들어, 폴리우레탄 acrylate나 폴리 에폭시 acrylate는 높은 분자 간 수소결합에 의해 점도가 높다. 이 점도는 수지 내에 존재하는 hydroxyl기를 ester화하여 수소결합 형성을 약화시키면 효과적으로 낮출 수 있다.
모노머는 경화 속도 조절뿐만 아니라 최종 수지 조성물의 점도를 미세하게 조정하는 역할을 한다. 일반적으로 단관능 모노머는 저점도이며, 2관능과 3관능 모노머 순으로 점도가 증가하는 경향이 있다. 따라서 아래와 같은 관능기별 물성을 고려하여 다양한 조합에 따른 물성 변화를 배합설계 시 고려해야 한다.
경우에 따라 UV 경화성을 갖지 않는 비반응성 희석제를 첨가하여 수지의 점도를 더욱 낮추는 동시에, 경화 속도와 반응률을 향상시킬 수 있다. 이와 같은 경향은 경화 반응 후 잔존하는 불포화 이중결합의 양으로 평가할 수 있다.

 

8. UV 경화 수지의 굴절률

 

광학용 재료로 사용되는 UV 경화 수지는 적절한 점도, 빠른 경화, 낮은 수축 외에도 굴절률 조절이 필요한 경우가 많다. 특히 렌즈, 광도파로, 디스플레이 구성품 등과 같이 정밀한 광학 특성이 요구되는 분야에서 굴절률 설계의 중요성이 더 커진다.
그러나 현재 시판되고 있는 UV 경화 수지들은 조정 가능한 굴절률 범위가 제한적이므로 요구되는 특성을 충족하기가 어렵다. 따라서 고굴절 배합 설계를 위해서는 모노머와 올리고머의 합성 검토가 필요하며 배합, 경화, 부품화 각 공정 단계에서 적절한 고굴절화 설계가 이루어지지 않으면 불균일 또는 공정 결함에 의해 원하는 물성을 얻을 수 없다. 

 

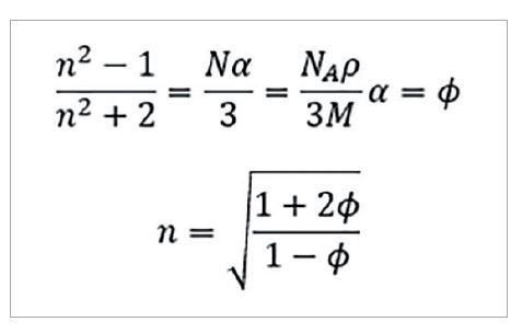
8.1 굴절률을 결정하는 요인

 

UV 경화 수지와 같은 고분자 재료의 굴절률은 일반적으로 다음과 같은 Lorentz–Lorenz 식으로 나타낼 수 있다.
이 식으로부터 분자 체적 V를 작게 하든지, 분자 굴절 R을 크게 하면 굴절률을 높일 수 있음을 알 수 있다. 그러나 실제로 고분자 재료의 실측 분자 체적과 그 굴절률 간의 관계를 비교한 결과 [표 8], 분자 체적의 크기와 굴절률 사이에는 상관관계가 성립하지 않는 경우도 많이 있다. 이는 굴절률이 단순한 체적 요인보다는 다른 요인, 특히 전자구조에 따른 분자 굴절의 크기에 더 큰 영향을 받는다는 사실을 나타낸다.

 

8.2 굴절률 산출 방법

 

분자 굴절은 원자 굴절과 관계가 있으며, 분자를 구성하는 원자의 원자 굴절 합을 통해 일반적으로 분자 굴절을 추정할 수 있다[표 9]. 여기서는 계산이 간단한 저분자 화합물의 계산 예시를 보였으며, 고분자 재료의 경우에도 동일한 계산 방법으로 굴절률을 산출할 수 있다.
분자 굴절은 분극률 α와도 밀접한 관계가 있으며, 분극률이 클수록 굴절률은 높아지는 경향이 있다. 더욱이 분극률을 알고 있을 경우 굴절률은 다음과 같은 식으로 나타낼 수 있다.
8.3 화학구조와 굴절률

 

Meth(acrylate)계 고분자를 예로 들어, 치환기 R의 화학구조에 따른 굴절률 변화를 정리하였다[표 11]. 이 데이터로부터 단일한 고분자 골격이라 하더라도, 말단 또는 곁사슬에 도입되는 치환기의 종류에 따라 굴절률이 비교적 넓은 범위에서 조절 가능함을 알 수 있다. 이는 치환기에 포함된 원자의 전자밀도, 분극률, π-결합 구조가 전체 분자의 굴절에 기여하기 때문이다.
이러한 경향은 다른 고분자 재료에도 유사하게 치환기를 도입하여 굴절률을 제어할 수 있을 것으로 예상된다. 그러나 유기화합물에서 조절 가능한 굴절률 범위의 상한은 이론적으로 약 1.7로 추정되며, 이는 유기 분자의 전자구조에서 분극성의 한계에 기인한다. 무기화합물의 높은 전자밀도 및 금속-비금속 결합에 기반한 높은 분극성과 비교할 때, 유기화합물의 상대적으로 조절 가능한 굴절률 범위는 제한적이다. 이에 따라 최근에는 높은 굴절률을 위해 금속화합물과 유기 고분자의 하이브리드화가 시도되고 있다. 예를 들어, 티타늄, 지르코늄, 안티몬 등의 금속 유기 복합체를 고분자 매트릭스에 도입함으로써 굴절률이 1.7을 초과하는 고분자 재료도 보고되고 있다. 

 

8.4 굴절률 제어

 

Meth(acrylate)계 고분자의 화학구조와 굴절률 간의 관계를 살펴보면, acrylate계 수지에 다양한 치환기를 도입하여 유사한 범위의 굴절률 조절이 가능할 것으로 추정된다. 그러나 실제 시판되고 있는 UV 경화 수지의 굴절률을 살펴보면, 이론상 기대치에 비해 그다지 높지 않은 것을 알 수 있다. 상용 모노머들의 굴절률은 대부분 1.45에서 1.55 수준에 분포하며, 고굴절 특성을 부여하기 위해 상대적으로 고굴절인 비스페놀(bisphenol) 골격을 갖는 acrylate에서도 경화물의 굴절률은 약 1.57로 고굴절화하는 것이 쉽지 않다.

 

이는 경화 전 모노머 상태의 굴절률이 경화 과정에서 고분자의 밀도 증가 및 분자 배열 변화 등에 의해 소폭 상승할 수 있으나 그 상승 폭이 제한적이기 때문이다. 따라서 단순히 고굴절 모노머를 조합하는 것만으로는 1.70을 초과하는 고굴절을 얻기 어려우며, 실질적인 고굴절화를 위해서는 용도에 맞는 분자 수준의 구조 설계가 필요하다.

 

8.5 굴절률의 온도의존성

 

UV 경화 수지의 굴절률은 온도의 함수이며, 이는 아래 식에서 볼 수 있듯이 분자분극과 체적 팽창에 기인하는 항이 존재한다. 엄밀히 말하자면, 분자분극 역시 온도의 영향을 받지만, 그 정도는 미미하다. 반면 고분자 재료의 체적 팽창은 무기 재료에 비해 훨씬 크기 때문에, 굴절률의 온도 변화는 주로 체적 팽창에 의해 결정된다고 보아야 한다. 특히 고분자 사슬 간의 자유 공간이 온도가 상승함에 따라 증가하면서 체적이 팽창하고 단위 부피당 분자 밀도가 감소하여 굴절률은 저하된다.
고분자 재료의 팽창계수는 Tg를 전후로 크게 변화하며, 같은 고분자 재료의 굴절률도 Tg 전후로 크게 바뀌는 것으로 보고되어 있다. 이러한 특성으로 인해 사용 환경의 온도 범위에 맞추어 적합한 팽창계수를 갖는 재료를 선택하는 것이 중요하다. 
UV 경화 수지는 일반적으로 중합과 성형이 동시에 이루어져 최종 제품으로 제조되기 때문에, 경화물 내에는 미반응 성분이나 저분자량의 올리고머가 잔존할 가능성이 있다. 그러나 흥미로운 점은 이러한 미반응성분들이 존재함에도 불구하고 굴절률의 온도의존성이나 선팽창계수는 크게 변하지 않는다는 것이다. 이는 UV 경화 수지의 특성이 경화 전에 조성물에서 결정되고, 이후 경화 과정에서 구조가 고정됨으로써 상대적으로 안정된 광학 물성을 나타내기 때문이다.
물론, UV 경화 수지의 구체적인 구조나 경화조건에 따라 굴절률의 변화 수치는 다소 차이를 보일 수 있을 수 있으나, 사용 환경에 적합한 적절한 고분자 구조를 선택하면 일반적인 고분자 재료에서 관찰되는 온도의존성과 거의 유사한 성능을 발휘할 수 있다. 

 

8.6 UV 조사량과 굴절률

 

일반적인 고분자 재료의 굴절률은 문헌값을 통해 비교적 정확하게 파악할 수 있다. 그러나 UV 경화 수지의 경우, 경화 후 형성되는 고분자 네트워크의 구조와 밀도가 UV 조사량에 의한 경화 조건에 따라 달라지므로, 경화물의 굴절률은 일정하지 않으며 문헌치로부터 예측하기 어렵다. 실제로 UV 경화 수지의 굴절률은 UV 조사량의 증가에 따라 변화하며, 이는 경화 반응 정도에 기인한다.

 

이를 입증하기 위해 경화 조건이 서로 다른 시료의 굴절률을 측정하고 도식화한 결과 굴절률 변화가 반응률과 관련이 있는 것을 확인하였다. 

 

반응률의 측정은 μ-ATR 분광법을 활용하여 경화물 표면 근처에서의 반응율을 평가하는 방식으로 진행되었다. 실험에는 BisAEODA(Bisphenol A Ethoxylate Diacrylate)를 사용하였으며, 광 개시제의 첨가량을 변화시켜 조사량에 따른 굴절률 변화를 조사하였다. 그 결과, 동일한 수지 조성에서도 광 개시제 농도에 따라 경화물의 굴절률이 달라지고, 원하는 굴절률을 구현하기 위한 최적의 조사량 또한 달라짐을 확인하였다.

 

8.7 파장 분산 특성

 

UV 경화 수지의 중요한 광학 특성 중 하나인 파장 분산은 물질의 굴절률이 빛의 파장에 따라 얼마나 변화하는지를 나타낸다. 일반적으로 파장 분산은 아베수로 표현되며, 아베수가 작을수록 파장에 따른 굴절률 변화가 커지고 색수차 발생 가능성이 높아진다.

 

무기 재료인 석영 유리는 파장 분산이 작지만, 고분자 재료인 PS나 PMMA는 상대적으로 높은 파장 분산을 보인다. 일반적으로 고분자 재료에서는 굴절률이 높은 경우 아베수가 작아지는 경향이 있으며, 고 굴절률과 높은 아베수를 동시에 만족하기 위해서는 추가적인 연구가 필요하다.
UV 경화 수지의 굴절률과 아베수 간에는 일반적으로 반비례 관계를 따르지만, 일부 화합물에서는 이 관계에서 벗어난 양상을 보인다. 예를 들어, 실제 함수보다 위에 위치하는 화합물은 굴절률에 비해 파장 분산이 낮고, 아래에 위치하는 화합물은 파장 분산이 큰 특성을 나타낸다. 구조적으로는 ester기 근처에 지환 구조가 있을 경우 파장 분산이 작고, 분자 내에 벤젠환이나 질소 원자를 포함하면 파장 분산이 큰 경향이 있다. 이러한 경향은 경화 전의 액체 상태뿐만 아니라 경화 후의 고체 상태에서도 유사하게 나타난다. 또한 경화 전후를 비교할 때, 굴절률은 경화 후에 증가하지만, 아베수는 낮아지지 않거나 오히려 증가하는 경우도 있어 경화 반응이 파장 분산 특성에 긍정적인 영향을 미칠 수 있음을 시사한다.

 

굴절률에 비해 아베수가 높은 UV 경화 수지는 지환식 골격을 가지는 경우가 많으며, 분자 내에 질소(N)를 포함할 경우 아베수가 저하되는 경향이 있다.
9. UV 경화 수지의 고 굴절화

 

UV 경화 수지의 고 굴절화를 위해서는 분자 굴절을 증가시키는 구조적 요소의 도입이 중요하다. 일반적으로 사용되는 방법으로는 방향족기의 분자 내 도입, 불소를 제외한 할로겐 원자의 도입, 유황 원자의 도입, 지환식 구조의 도입이 있다. 이러한 방법들은 각각 또는 두 가지 이상의 조합으로 적용될 수 있다.
9.1 방향족기의 도입

 

벤젠환과 같은 방향족 구조는 높은 분극률을 가지고 있어 굴절률을 효과적으로 증가시킬 수 있다. 그러나 방향족기의 도입은 아베수를 저하시켜 파장 분산을 증가시킬 수 있으므로 용도에 따라 제한이 있을 수 있다. 그럼에도 불구하고 방향족기를 포함한 수지의 아베수는 폴리카보네이트 수준에 달하므로 다양한 용도로 활용될 수 있다.
위의 [그림 27]에서 에틸 acrylate (ECA) 유도체에 방향족기가 도입되었을 때 굴절률이 증가함을 보여준다. 특히, o-PPEOA의 경우 경화 후 굴절률이 약1.61에 이른다. 그러나 방향족기 도입은 UV 흡수 특성에도 변화를 초래하며, 그 결과 흡수 파장이 길어지는 경향이 나타난다. 방향족기의 수가 증가함에 따라 UV-가시광 영역에서의 흡수 파장이 증가하는 경향이 나타난다. 이러한 변화는 광 개시제와의 흡수 스펙트럼 중첩 가능성을 증가시켜 광 개시 효율을 저하시킬 수 있으므로, 경화 불량을 방지하기 위해서는 적절한 파장의 광 개시제를 선택하는 것이 중요하다. 
9.2 불소 이외 할로겐 원자의 도입

 

분자 내에 할로겐 원자의 도입을 통한 굴절률을 조절하는 방법은 널리 활용되고 있으며, 이는 지방족 및 방향족 구조 모두에 적용되고 있다. 할로겐 원자의 도입은 굴절률을 높이는 데 매우 효과적인 수단이지만, 몇 가지 주의해야 할 점이 있다. 우선 탄소 원자와 할로겐 원자 간의 결합에너지 크기에 주목해야 한다. 일반적으로 결합 에너지는 F > Cl > Br > I 순으로 크며, 불소를 제외한 할로겐 원자 중에서는 고 굴절화에 대한 기여도가 I > Br > Cl 순으로 나타난다. 또한, 굴절률을 더욱 높일 수 있는 원소로는 요소 원자가 있으나, 열이나 빛에 의해 결합이 쉽게 끊어지기 때문에 요소를 활용한 고 굴절화는 경화 필름의 사용 환경을 충분히 고려하여 적용해야 한다.
이처럼 할로겐 원자에 의한 고 굴절화는 결합에너지와 효과 간의 균형이 중요하며, 이러한 관점에서 브롬 원자가 자주 선택된다. 그러나 할로겐 원자의 도입은 재료의 비중을 증가시키므로 주의가 필요하다.

 

9.3 유황 원자의 도입
유황 원자를 포함하는 결합은 원자 굴절이 매우 크기 때문에 고 굴절화를 실현하기 위한 효과적인 방법으로 널리 알려져 있다. 그러나 UV 경화 수지의 경우, 유황 화합물의 특유한 냄새 문제로 인해 실제 적용이 제한적이다. 이는 이미 고분자화된 재료를 성형하는 경우와는 달리, UV 경화 수지는 가공 공정 중 유황 함유 모노머를 직접 사용하기 때문에, 모노머 내 미량의 불순물조차도 강한 냄새를 유발하여 문제가 될 수 있기 때문이다.

 

이 외에도, 불순물의 영향으로 UV 경화 과정 중 착색 현상이 발생할 수 있으며, 이는 최종 제품의 외관 및 광학적 특성을 저해할 수 있다. 또한, 유황을 함유한 모노머는 상온에서 고체 상태인 경우가 많아, 다른 모노머나 올리고머와의 상용성이 좋지 않으며, 작업성 측면에서도 불리한 점이 있어 사용이 기피되는 경향이 있다. 한편, acrylate 구조에 유황을 도입하는 방법으로는 ester 결합 부위의 산소를 유황으로 치환하는 방식이 알려져 있다. 이 반응 자체는 가능하지만, 공정비용이 높아 상업적으로는 널리 활용되고 있지는 않다.

 

9.4 지환식 구조의 도입

 

분자 내에 지환식 구조를 도입하면 굴절률이 상승한다. 이는 구성 원자가 동일하더라도 분자의 형태가 선형인지 환상인지에 따라 굴절률이 달라질 수 있음을 의미하며, 단순한 원자 굴절 개념만으로는 설명하기 어렵다. 더욱이 환상 구조는 굴절률의 증가뿐만 아니라 경화 필름의 Tg를 저하시키지 않으면서 굴절률을 조절할 수 있는 특징을 가진다. 아래의 [그림 30]에서 선형, 분지형, 환상형 각각의 구조에 대해 탄소 수 증가에 따른 Tg 변화를 보여주고 있는데, 선형 구조에서는 탄소 수가 증가함에 따라 Tg가 저하되는 반면, 환상형 구조에서는 이러한 Tg 저하가 현저히 감소하는 것을 알 수 있다.

 

한편, 방향족기를 도입하여 고 굴절화를 도모하는 경우에는 분자의 흡수 파장이 장파장 쪽으로 확장되어 UV 광 이용 효율이 저하될 우려가 있으나, 환상 구조의 도입은 흡수 파장에 미치는 영향이 거의 없기 때문에 높은 UV 경화 효율을 유지할 수 있다. 또한 아베수의 저하가 비교적 적어 광학 성능 측면에서 유리한 특성을 나타낸다.

 

10. 복굴절

앞서 UV 경화 수지의 굴절률 제어에 대해 서술하였으며, 이러한 수지가 광학 재료로 사용될 경우 굴절률이나 분산 특성 외에도 매우 중요한 특성 중 하나로 간주된다.

 

복굴절(birefringence)은 특정 물질에 빛이 입사할 때 진동면의 방향 차이에 따라 광의 전파 속도가 달라지는 현상을 의미하며, 이로 인해 화상이 이중으로 보이거나 흐릿하게 번지는 등의 문제가 발생할 수 있다.